一体化孔板流量计
发布时间:2025-05-26 ???
浏览次数:
一体化孔板流量计概述:
ZHLG型
一体化孔板流量计是将标准孔板与
三阀组及
差压变送器组装在一起或者与多参量变送器配套组成的高量程比差压流量装置,可测量气体、蒸汽、液体及天然气的流量;一体化孔板流量计广泛应用于石油、化工、冶金、电力、供热、供水等领域的过程控制和测量。
一体化节流装置是由流量计生产厂家按照用户的要求将节流装置与截止阀、冷凝器(或冷凝圈)、引压管、三阀组和差压变送器组装在一起。货到只需将其法兰与管道焊接和接入差压变送器电缆即可投入使用。
近年来一体化节流装置由于极大地方便了用户,受到了市场的欢迎,产生了多种不同的结构型式。其结构与组成示意图如下:
一体化孔板流量计工作原理:
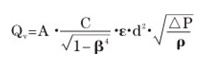
节流装置测量流量的原理是依据著名的伯努力流体力学原理。如图(1)所示在管道中安放一只节流件,有流体流过节流件时,会在节流件两侧产生一个压力差(差压P),这时的流量与差压的平方根成正比,即:

体积流量:
式中:A:常数
C:流出系数
β:直径比(= d / D)
d:节流件孔径(mm)
ε:可膨胀性系数
△P:节流件前后的差压(Pa)
ρ:工况下流体密度(kg/m
3)
孔板流量计适用范围:
1.公称直径: 15 mm ≤DN≤1200mm
2.公称压力:PN≤10MPa
3.工作温度:-50℃≤t≤550℃
4.量程比:1:10, 1:15
5.孔板精度:0.5级,1级
一体化孔板流量计产品选型:
|
型号 |
说 明 |
|
ZHLG |
节流装置(孔板流量计) |
|
|
代号 |
按其结构特征的两大基本分类 |
|
|
K |
孔板 |
|
|
代号 |
公称压力(Kg/cm²) |
|
|
2.5 |
2.5 |
|
|
10 |
10 |
|
|
16 |
16 |
|
|
25 |
25 |
|
|
64 |
64 |
|
|
100 |
100 |
|
|
160 |
160 |
|
|
代号 |
口径(mm) |
|
|
15~1200 |
15~1200mm |
|
|
代号 |
按其结构形式细分 |
|
|
H |
标准孔板(环室) |
|
|
Y |
标准孔板(法兰) |
|
|
K |
标准孔板(钻孔) |
|
|
T |
不在上述之列的特殊节流装置 |
|
|
代号 |
介质 |
|
|
1 |
液体 |
|
|
2 |
气体 |
|
|
3 |
蒸汽 |
|
|
4 |
高温液体 |
|
|
代号 |
补偿形式 |
|
|
N |
不带压力、温度补偿 |
|
|
P |
带压力补偿输出 |
|
|
T |
带温度补偿输出 |
|
|
Q |
带压力、温度补偿输出 |
|
|
代号 |
变送器差压量程范围 |
|
|
0 |
微差压量程 |
|
|
1 |
低差压量程 |
|
|
2 |
中差压量程 |
|
|
3 |
高差压量程 |
|
|
代号 |
变送器配置 |
|
|
CY |
差压变送器 |
|
|
DC |
智能多参量变送器 |
孔板流量计安装与使用注意事项:
1、核准参数:安装前务必先核准现场工况条件,确认节流装置计算书的所有参数与安装点工况条件参数完全相同后,才可进行安装,否则必须进行必要的修正或补偿。
2、方向:节流装置的孔板提柄上或法兰外圆面上分别有“+”、“-”号,“+“为上游侧(迎着流体过来的方向),不得装反。
3、插入深度:环室取压孔板,插入深度为管道与环室之间距离为2~5mm,但不能将管道顶到环室,否则管道受热膨胀便会顶坏环室。钻孔取压孔板,突入孔板内的管道,任何一点不得挡住取压孔。
4、系统吹扫:节流装置安装完毕既应吹扫,此时应先将节流件(孔板片)拆下,以免管道内杂物刮伤孔板片或堵塞引压管,待吹扫完成后再装好,方向为流体流动方向与孔板上的箭头同向。注意拧紧以保证密封。
5、调零:吹扫安装完成后,将三阀组中间阀开启,此时差压值应为零,如果不是,就必须要归零,方法是按住左下角按键不动20秒钟,松开后即可。
6、最后将三阀组中间阀慢慢关闭(必须关严),正负引压管上部的截止阀全部开启,孔板即可正常工作。
7、安装同轴度要求:节流件与管道必须同心,偏心距离不大于0.0025D,用户在焊接操作时应予注意或采取必要的措施。
8、孔板一般都要配合差压变送器使用,导压管与差压变送器连接时要注意正负压不要装反,“H”为正,“L”为负;
9、正负取压口引出的导压管在任何情况下都要保持平行;
10、如必须装调节阀,则建议最好把调节阀装在下游计算书上要求的直管段长度之后。
11、被测介质为气体或蒸汽且温度和(或)压力有较大波动时,应进行温度和(或)压力补偿。压力变送器装设在上游1D处,热电阻装设在下游1D处。
12、在差压讯号管线上不得有可能积留液体或气体的袋形空间,如不能避免时,应装设集气器(或排气阀)和沉降器(或疏水器)。
13、变送器零点漂移也会引起测量误差,使用过程中应定期对差压变送器进行校准。
14、除须经常对导压管进行检查,以防堵塞外,对室外的导压管应予适当保温,以防凝固或冻结。如管线(垂直段)相当长,应避免由于温差导致的虚假压差,此时建议把两根差压管线靠近敷设并一起包在保温层内。
15、差压管线应有支架,以避免振动和有力作用在差压计上。
16、节流装置现场吊装时,严禁用铁丝、钢丝、吊钩穿入节流件喉部孔径,以防止锐口损伤,影响精度;
17、节流装置使用一段时间后,由于液体中有固体颗粒,气体中有液体小滴或其它杂质,尖锐的入口将被磨钝,从而使流出系数增大,造成附加误差,此时应考虑调换节流件;另外,节流装置长期使用后,在孔板上游侧下角容易堆积污物,这会使流出系数变化,因此要定期检查,排除污物。
18、导压管:导压管的材质应按被测介质的性质和参数而定,其内径过小和长度太长会使信号严重滞后或失真