差压变送器精度对差压式流量计测量影响
发布时间:2025-07-02 ???
浏览次数:
流量测量参数是工业生产最常见的参数之一,准确测量流量不仅保障了生产环节的安全,也有利于更好地进行系统控制与调节,提高效率与质量"。差压式流量计作为使用历史最久的一种流量测量仪表,在各领域具有成熟与广泛的应用。而随着工业发展的不断深入,市场和政府对于包含差压式流量计在内的计量器具提出了基于产品需求和有序监管的全新要求。差压式流量计的检测涉及到节流装置、差压装置在内的几何量值、压力量值等多参量的测量日。下面从差压式流量计的工作原理分析
差压变送器对差压式流量计测量精度的影响,并讨论了更为合理的差压变送器校准办法。
1差压式流量计的组成与工作原理
差压式流量计主要由节流装置、差压变送器和
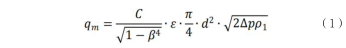
流量积算仪组成。常用的节流装置主要分为标准节流件与非标准节流件。其原理遵循伯努利方程和流动连续性方程。在密闭管道中的单相流体经过节流件时,由于管道内的流通截面突然减小,流体的流速急速增大,因此流体的动能相应增加。此时流体的部分位能转化为动能,流体在节流件前后就会产生压力差。使用差压变送器对该压力差进行测量并由流量积算仪进行函数运算,便可得到流量测得值,如图1所示。表达式为
式(1)中:qm--质量流量;C一流出系数;?一气体可膨胀系数;β一直径比,B=d/D;d-工作条件下节流件的孔径;D-工作条件下上游管道内径;△p-差压;ρ1一上游流体密度。
2差压变送器对差压式流量计测量精度的影响
根据式(1)可知,使用差压式流量计开展测量对流量的影响因素主要有流出系数C、气体可膨胀系数ε、节流件孔径d、上游管道内径D、差压△p,以及上游流体密度ρ1。
这些参数的测量与确定无疑是差压式流量计检测的核心问题,差压式流量计的检测流体应具备单相、清洁,不含颗粒、纤维等杂质的性质。各管路与差压件的几何参数在流量测量过程中为常数,对流量测量结果造成的影响与其自身参数测量的重复性与不确定度有关,不同类型的节流件对应于不同的测量内容与测量方法,对于测量结果的不确定度也有不同的要求。上游流体密度的确定主要来自于温度计的测量结果。流出系数由于是根据实际流量与理论流量的比值算得的,因而会受到管路与节流件以及标准流量测量结果的影响,而差压变送器对差压的测量则会直接影响到流量示值误差检测的结果同。
差压变送器作为工业中最为常用的计量器具之一,积累了长时间的生产使用经验,取得了大量的技术突破,如今已经可以达到很高的测量精度。国外的厂家投人到中国市场的变送器产品绝大多数可以达到0.075级的精度等级,国内的厂家,精度等级也达到0.075级的压力变送器的稳定条件。根据要求,差压变送器的测量误差对流量测量结果的影响应当不超过差压装置精度等级的1/3。而常见的差压式流量计精度等级对应的最大允许误差为±0.5%、±1.0%、±1.5%、±2.0%、±2.5%。上述差压变送器的最大允许误差看似在数值上达到了小于差压装置最大允许误差的1/3的要求,但这种直观的理解实际上存在着两方面的问题。
1)差压装置对应的流出系数与差压变送器对应的差压之间并不是一次函数关系.
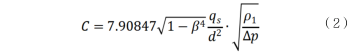
以水介质测量的用经典文丘里管作为节流件的标准节流装置为例,流出系数按式(2)所示:
式(2)中:C一流出系数;β一直径比;/=d/D;qs一标准流量值;d一节流件的孔径;ρ1一水的密度;△p-测量差压值。
为了进一步考察差压变化对流出系数的影响,将式(2)对差压△p进行求导可得:

算结果对差压变化的灵敏度的影响。不难发现,在对差压值较小的检测点进行测量时,流出系数的灵敏度较大,更容易被差压测量结果的误差所影响。
2)差压式流量计的精度等级、最大允许误差的定义形式与差压变送器的不同.
差压式流量计的测量参照的技术依据《差压式流量计》检定规程,关于各流量点测得值的误差计算如式(4)所示:
式(4)中:E一差压式流量计的相对示值误差;被检流量计显示的流量值;Qr一标准器换算到被检流量计处状态的标准流量值。
由此可知,差压式流量计的测得值误差按照相对误差的形式定义,故精度等级、最大允许误差也同样以相对误差的形式表达。
而差压变送器的测量参照的技术依据《
压力变送器》检定规程同,差压变送器的示值误差计算如式(5)所示:
式(5)中:△I一差压变送器的示值误差;I一差压变送器的实际输出值;IL一差压变送器的理论输出值。
差压变送器的精度等级与最大允许误差,则是以其输出量程的百分比表示的,如式(6)所示:
式(6)中:△I-差压变送器的示值误差;Ips-差压变送器的输出量程。
由此可知,差压变送器的示值误差按照绝对误差的形式定义,而精度等级、最大允许误差则以引用误差的形式定义。
由于定义方式的不同,直接使用精度等级或最大允许误差评价差压变送器对流量装置的适用性并不恰当。尽管在满量程点时两者可以进行比较,但随着测试点对应差压的减小,差压变送器产生的示值误差换算成的相对误差可能就越大,最终会扩大对差压式流量计测量精度的影响。
总的来说,两方面因素最终指向了同一结果:对于流量1差压较小的测量点,差压变送器自身的误差会对差压式流量计测量结果造成较大的影响。
3差压变送器的校准方法讨论
差压式流量计由于其自身的特点,对差压变送器的校准提出了不同于一般压力变送器的要求。因此,优化差压变送器的校准方法,对于提升差压式流量计的实际测量精度,保障测量结果的精度可靠性具有重要的现实意义。
1)选择使用合适的标准器会更有利于校准结果的评价校准差压变送器可供选用的标准器有
压力校验仪、自动标准压力发生器、活塞式压力计、浮球式压力计、补偿式微压计等。兼顾到差压式流量计配置的差压变送器的测量上限往往在数百kPa或几十kPa左右以及校准过程的便捷,大多数校准机构倾向于选择数字压力计或自动标准压力发生器。这两类压力标准器是以引用误差作为其自身的精度等级与最大允许误差的评价形式,这就导致了其对差压变送器校准结果的不确定度同样是以引用误差的形式表达,使得小压力测量点难以获取满意的结果。为此,可以在单台数字压力计的基础上,再使用一台相同精度等级,但量程更小的数字压力计,或者为自动标准压力发生器额外配置一个相同精度等级的小.量程压力???。这样使得小压力测量点对应的不确定度减小,提升了数据的精度。更为直接的方式是改用活塞式压力计或者气体活塞式压力计。由于活塞式压力计是以活塞有效面积、砝码质量以及其他修正作为其产生的标准压力,其测量结果的不确定度往往以相对不确定度的形式表达,所以不论压力测量点大小如何,均可以得到较为一致的结果。
2)选择合适的测量点进行校准,可以更好地减少实际测量的误差
为了更为便捷地通过所需的流量值,差压式流量计配置的差压变送器在出厂“时往往变更了常规的输出信号值与输人压力值的线性函数关系,采用幂函数作为输出信号值与输人压力值的函数关系。这种设定方式使得差压式流量计最终获得的流量值与差压变送器输出信号值之间建立了线性函数关系,更便于进行数据的处理。而差压变送器校准选择的校准点,默认情况下参照《压力变送器》检定规程中的要求,按量程基本均匀分布,包括上限值、下限值在内不少于5个点。其中的量程均匀分布指的是压力值的选点均匀,换算成对应的流量值后则不再均匀,测量点集中在大流量对应的位置,影响了对差压式流量计整体精度的评价,如图2所示。所以,从差压式流量计这个整体出发,差压变送器的选点采用按输出信号范围均匀分布的方式更为合适。这种选点方式一方面更加仔细地考察了差压变送器在差压值较小的测量点处的测量情况,使较小差压值的测量结果得以获取更可靠的校准或修正,另-方面也保障了差压式流量计得出的流量值在各测量点均能得到满意的精度。